所屬科目:研究所、轉學考(插大)-微積分
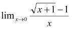
1. (1)Find the limit: .
(2)Find the limit: .
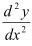
2. (1)Find the derivative .
(2)Find given x2+y2=25.
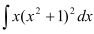
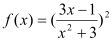
3.(1)Find the derivative of .
(2)Find .
4. Find the area of the region between the graph of f(x)=3x3-x2-10x and g(x)=-x2+2x.
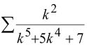
5. Find the radius of convergence of .
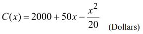
6. A manufacturer of computer components determines that the total cost C of producing x components per week is
7. An object is moving in the clockwise direction around the unit circle x2+y2=1. As it passes through the point , its y-coordinate is decreasing at the rate of 3 units per second. At what rate is the x-coordinate changing at this point?
8. A soft-drink manufacturer wants to fabricate cylindrical cans for its product. The can is to have a volume of 12 grams, which is approximately 22 cubic centimeters. Find the dimensions of the can that will require the least amount of material.
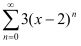
9. Determine if convergence or not.
10. Find f(t) given that f'(t)=2f(t) for all t and f (0) = 5.