所屬科目:高中指考◆物理
1. 一質量為 m 的小球,在一光滑水平面上,以速度 作直線運動。在時間 t = 0 時, 小球開始受一定力 的作用,如圖 1 所示, 的夾角為 π/4,其量值分別為 F 及 ν 0 。 設 的方向為正 x-軸方向, y-軸與之垂直,則在之後的時間 t = t’時,下列何者正確? (A) 小球動量在 x 方向的量值為 mν 0 (B) 小球動量在 y 方向的量值為(C) 小球動量的方向與 x-軸的夾角仍為 π/4 (D) 小球動量的量值為 mν 0 + F t’ (E) 小球的動量在 x 方向的量值與在 y 方向的量值的比 值 為 1+ ( F t’/ mν 0 )
3. 質量為 m 的甲球與質量為 5m 的乙球分別固定在一長為 L 的細桿兩端,並繞其質心 以角頻率 ω 旋轉,轉軸與細桿垂直,旋轉時細桿長度不變;設細桿極輕,其質量可 以忽略不計,且兩球的直徑與桿長相比極小, 也可以忽略不計。則相對於質心,此 轉動系統的角動量的量值為下列何者? (A) (B) (C) (D)(E) 6 mL2 ω
4. 有一均勻木棒,一端置於水平地面上,另一端以水平細繩繫至一鉛直牆壁,使木棒 與地面夾 θ 角,如圖 2 所示。若已知 tanθ = 3/ 4 ,則木棒與地面之間的靜摩擦係數至 少應為多少,木棒才不會滑動? (A) 6/5 (B) 2/3 (C) 4/5 (D) 3/5 (E) 3/8
5. 如 圖 3 所示,在截面積為 0.01 m 2 的 U 形管中,注入密度為 500kg/ 3 m 的油及密度為1000kg/ 3 m 的水,左端開口有一活塞使之形成閉口端,活塞的質量及與器壁的摩擦力均可不計,活塞下方油深 0.1m。試問需從活塞上方向下施以多大的力,才可維持左 側閉口端的油面與右側開口端的水面等高? (A) 0.98N (B) 2 .5N (C) 4 .9N (D) 9.8N (E) 490N
6. 如 圖 4 所示,在平行於 +y 方向上施加一強度為 E 的均勻電場,另在垂直射出紙面的方向上施加一強度為 B 的均勻磁場。起始時,有一質量為 m、帶有正電荷 q 的質點, 靜止放置在原點處。只受此電磁場的作用下 (重力可不計 ),則在質點的運動過程中, 下列敘述何者正確?
(A) 任何時刻質點的加速度朝向 +y 方 向 (B) 任何時刻磁場對質點不作功 (C) 任何時刻電場對質點不作功 (D) 任何時刻磁場對質點的作用力為零 (E) 質點在此電磁場中的運動軌跡為圓形
7. 如 圖 5 所 示,將 一 揚 聲 器 置 於 一 管 狀 物 的 一 端 開 口 處,連 續 改 變 揚 聲 器 發 出 的 聲 頻, 發現當頻率為 400 Hz、 500 Hz、 及 600 Hz 時都會產生共鳴。關於此管狀物的敘述, 下列何者可能為正確?
(A) 另一端為閉口,基頻為 100Hz (B) 另一端為閉口,基頻為 200Hz (C) 另一端為開口,基頻為 100Hz (D) 另一端為開口,基頻為 200Hz (E) 另一端可以為開口,也可以為閉口
8. 小聰有一支會發綠光的雷射筆,他在實驗室中想用單狹縫繞射來決定此綠光的波 長,若已知單狹縫的縫寬為 d,他還需要測量下列哪些物理量:筆的長度 、光源 到屏壁的距離 L1、單狹縫到屏壁的距離 L2、在屏壁上中央亮紋附近所產生兩暗紋的 間 距 y,才能求得此綠光的波長? (A) , L1 (B) , L2 (C) L1, L2 (D) y, L1 (E) y, L2
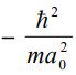
10. 依照波耳的氫原子模型,電子繞質子作等速率圓周運動。若已知電子的質量為 m, 氫原子在基態時,電子的角動量的量值為 , h 為 卜 朗 克 常 數 ),其 軌 道 半 徑 為 a0 ,則下列敍述何者正確? (A) 氫原子在基態時,電子的角速率為 (B) 氫原子在基態時,電子的靜電位能為 (C) 氫原子在基態時,電子的總能量為(D) 氫原子在第一受激態時,電子的總能量為 (E) 作等速率圓周運動的電子在質子處產生的磁場為零
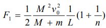
13. 圖 6 所 示 為 一 帶 電 粒 子 偵 測 器 裝 置 的 側 視 圖:在 一 水 平 放 置、厚 度 為 d 之薄板上下, 有強度相同但方向相反之均勻磁場 B;上方之磁場方向為射入紙面,而下方之磁場 方向為射出紙面。有一帶電量為 q、質量為 m 之粒子進入此偵測器,其運動軌跡為 如 圖 6 中所示的曲線,粒子的軌跡垂直於磁場方向且垂直穿過薄板。如果薄板下方 軌跡之半徑 R 大於薄板上方軌跡之半徑 r 時,設重力與空氣阻力可忽略不計,則下 列哪些敘述是正確的? (A) 粒子沿著軌跡由 O 點運動至 P 點 (B) 粒子帶正電 (C) 穿過薄板時,粒子動能增加 (D) 穿過薄板所導致的粒子動能改變量為 (E) 粒子穿過薄板時,所受到的平均阻力為
15. 如 圖 7 所示的電路,是由電阻為 R 的電阻器與一個二極體 D 並聯,再以電阻可忽略 的導線 L1 與 L2 分別連接到直流電源供應器 S 的 正負極而成。設此二極體的順向偏壓 為 Vd 時,通過的電流 為 I d。試問當電源供應器供 應的電壓調升至 Vd 時,下列敍述中哪些正確? (A) 通過電阻器的電流一定小於 I d (B) 通過電阻器的電流一定大於 I d (C) 通過導線 L1 或 L2 的電流一定小於 I d (D) 通過導線 L1 或 L2 的電流一定大於 I d (E) 通過電阻器的電流為 Vd /R
16. 波列很長的四個橫波,都沿正 x 軸方向傳播,若 x 軸 上 O 與 P 兩點間距離為 L, 在 時 間 t = t 0 看到此四個波的部份波形分別如圖 8 的甲、乙、丙及丁所示,其波速分別 為 4v、 3v、 2v 及 v。則下列敘述中哪些正確? (A) 頻率大小依序為丁 >丙 >乙 >甲 (B) 甲與丁的周期相同,乙與丙的頻率 相 同 (C) 甲的波長是乙的兩倍,乙的波長則 是丁的兩倍 (D) 在時間 t0 = t 後,O 點最早出現下一 個波峰的是乙 (E) 在時間 t = t0 後,O 點最早出現下一 個波谷的是丙
17. 下列各選項中,線框內之光學元件皆為透光玻璃製成。由線框左方射入單色平行光後,哪些線框內之光學元件可能造成如圖 9 所示之光線行進方向?(A) (B) (C) (D) (E)
2. 如果鐵釘受鐵鎚敲擊兩次後就完全釘入牆內。求證第一次敲擊時的阻力為 (3 分 )
3. 若第一次敲擊時,釘入牆內的深度為 d1, 當 d1 夠大,則敲擊若干次後,鐵釘會完全進入牆內。求證 若 ,則鐵釘才有可能在有限次的敲擊後完全被釘入牆 內 。 (3 分 )