所屬科目:國營事業◆1.普通物理 2.核電廠概論
1.有關質量為M在平面上之等速率為v圓周(半徑R)運動,則其週期T= (A) Rv (B) 2πRv (C)(D)
11.一般家庭用電的電源之數學式可寫為V0 =Vsin(ωt+θ)伏特,則V0= (A) 110 (B) (C) (D) 220
12.續第11題,ω= (A) 110 (B) 60 (C) 2πㆍ60(D) 60/2π
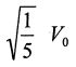
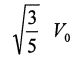
15.一未知氣體N個粒子的速率分体函數為請問粒子之均方根速率為何? (A) (B)(C) (D) V0
31.有關物理量的單位,何者正確? (A) 1ps (Pico socord) =秒 (B) 1nm (nano meter)=米 (C)(D)1 光年=365x24x60x60秒
32.下列那些值約等於一大氣壓? (A) 105 Pa (B) 1034 Kg/m●s2 (C) 760 mmlg (D) 1N/s2
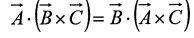
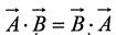
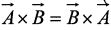
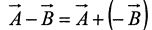
33.有關向量之運算何者正確? (A)(B) (C)(D)
46.有關原子的結構之敘述,何者適切? (A)原子核與外圍電子之穩定力量是靠庫倫作用力 (B)在原子核內沒有庫倫作用力 (C)在原子核內中子與中子間無作用力 (D)原子核之大小約m