所屬科目:研究所、轉學考(插大)-微積分
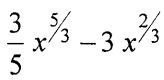
(a) = ?
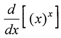
(b) dx = ?
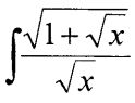
(c) dx = ?
2. (10 分) Sketch the graph of the function f(x) =.(need to point out all critical points, inflection points, local minimum points, and local maximum points, e.t.c..)
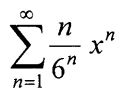
5. (10 分)Find the interval of convergence of the series .
6. (10 分) Prove that ln(1+x) =,-1<x ≤ 1.
7. (10 分)Find the volume of the solid generated by revolving about the x-axis the region bounded by the curve y =, the x-axis, and the lines x = 0 and x = 2.
8. (10 分) Let u = x2y3exz, where x = s2 + t2, y = 2st and z = s ln t. Find = ?