所屬科目:研究所、轉學考(插大)-微積分
(a)
(b) (6%)
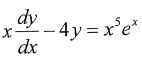
(3) Solve the differential equation (6%)
(4) Find for the function x=4t+6 y=t2+t-2 (6%)
(b) (10%)
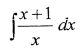
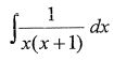
(c)∫x(x+1)dx
(d)
(7) The marginal cost for producing x units of a product is modeled by =32-0.04x. It costs $ 50 to produce one unit. Find the total cost of producing 10 units? (6%)
(9) Find the Taylor' s series for f(x)=sinx in power of (6%)
(15) Find the volume of the solid generated by revolving the region between the x-axis and curve 1≤x≤4 about the x-axis(6%)