阿摩線上測驗
登入
首頁
>
交通工程與管制
> 96年 - 96-2 警察特種考試_三等_交通警察人員交通組:交通工程與管制#23598
96年 - 96-2 警察特種考試_三等_交通警察人員交通組:交通工程與管制#23598
科目:
交通工程與管制 |
年份:
96年 |
選擇題數:
0 |
申論題數:
5
試卷資訊
所屬科目:
交通工程與管制
選擇題 (0)
申論題 (5)
一、在易肇事地點評定改善計畫中,交岔路口往往成為交通安全改善的重點,試說明其 事故發生的可能原因?有何交通工程策略因應?(20 分)
二、用路人在使用道路交通系統時,主要仰賴何種系統來接收周遭的訊息?從事交通管 理過程為了促進交通安全,如何運用此特性妥善規劃設計交通管制設施之設置? (20 分)
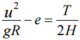
【已刪除】三、車輛行駛於道路上,往往因道路幾何設計或車輛結構不同,而影響其操作之穩定性與 安全性,各變數間之關係表示如:
,為避免車輛產生滑動或翻覆現象, 為達到行車安全管控,有何策略以對?(20 分)
四、汽車行經隧道依規定應開亮頭燈,其目的為何?試評述其在交通安全上的效果? 有何具體作法可以讓隧道的行車安全獲得更大保障?(20 分)
五、交通號誌「時制」設計內容包含那些要項?其設計之主要原理與考量因素為何? 試說明之。(20 分)