所屬科目:研究所、轉學考(插大)-微積分
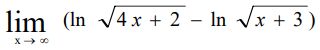
1.=_________
2.=_________
3. =_________
4.=_________
5. =_________
6. Assume that f(x) ∈ C ∀x ∈ R and that f(t) dt = ,then f(0) =_________
7. f(x)=ax³+bx²+cx+d that has a local maxima value of 3 at -2 and a local minima value of 0 at 1, then 9a+3b+c+3d=_________
8. Suppose g is the inverse function of a differentiable function f and let G(x) =. If f(3) = 2 and f'(3) =, then G'(2) =_________
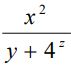
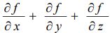
9. If f(x, y, z) = , then =_________
10.=_________
二、計算題:1. Find where Q is the region bounded by the x-axis, the curve y = x², and the line x =.
2. Find the points on the sphere x² + y² + z² = 36 that are closest to and farthest from the point (1, 2, 2).
3. Find the area of the region that lies inside the circle r=3sinθ and outside the cardioid r=1+sinθ.