所屬科目:研究所、轉學考(插大)-微積分
2.若f(x)=,試求∫ f''(x)dx.
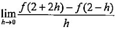
3.假設為一函數且f '(2)=3,則=?
4.若一質點運動之位置向量可以用表示,在t=1時其切線加速度及法線加速度為何?此時之曲率x為何?
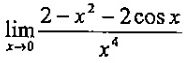
(1)
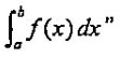
(2)
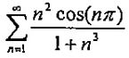
(3)
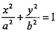
6.試求在一橢圓形之內接矩形最大面積值。
7.試説明可積分”(Integrable)之條件。
9.試求以冪級數(power series)表示
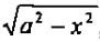
10.試以y=,(-a≤x≤a)繞x軸旋轉計算一半徑α之球體表面積。