所屬科目:研究所、轉學考(插大)-微積分
1.試求極限 ,其中[x]為最大整數函數
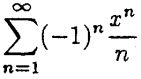
2.冪級數 ,試求其收斂範圍,並求其收斂值
(a)求在t=時,該曲線之切線斜率
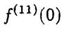
5.設f(x)=,求之值。
6.求定積分
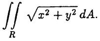
7.設R={(x,y):(x-1)2+y2≤1},求
8.設方程式w=x+y2+z3及z3-xy+yz+y3=1其中x,y為獨立變數, 求在點(x,y,z)=(2,-1,1)時之之值.
10.設區域R為曲線y =,直線y=2及x=0所圍成,求此區域R對直線x=4旋轉所圍之體積