所屬科目:研究所、轉學考(插大)-微積分
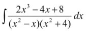
1. Evaluate
2. Evaluate
3. Let f (t) be a function defined for all positive values of t. The Laplace Transform of f(t) is defined by Find .
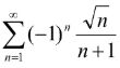
4. Determine the convergence or divergence .
5. Find the extreme values of f(x,y)=2x2+y2+3z2 subject to the constraint 2x-3y+4z=49.
6. Evaluate
(1) 何時達到最大高度?
(2) 最大高度為多少?
(3) 達最大高度時,瞬間速度及瞬間加速度各為多少?
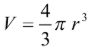
8.已知球體體積V與半徑r之關係為,當半徑的變化率是常數時,體積的變化率是否為常數?為什麼?
9. 在y=x2上求距離(0,2)最近的點。
10. 求