所屬科目:研究所、轉學考(插大)-微積分
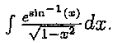
(1) with f(x) = sin I(x>0).
(2)
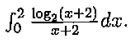
(2) y = , x>1.
(1)
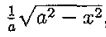
4. Find the volume of the ellipsoid generated by resolving the semiellipse y =,| x | ≤ a, about the x-axis.
5. Solve the differential equation ,0 <y <M.
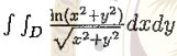
6. Evaluate , where D={ (x,y) :1≤x2+y2≤e}.
7. Find the radius and interval of convergence of the power series
8. Determine the convergence or divergence of the series . Give reasons for your answer.