所屬科目:研究所、轉學考(插大)-微積分
1.一賽車在圓形車道x2+y2=2500m2奔馳,而教練站在(25m,0)處。(m指公尺)當車在點(40m,30m)出,教練以雷達測知車子和他的距離以m/sec之比率增加,則此時車速為________ (以m/sec為單位)
2. =_________
3.曲線f(x)=ln|cosx|由x=0到x=π/4之弧長為______
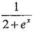
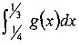
4. f(x)=為一遞減函數,令g(x)為f(x)之反函數,則=_______
7.S為單位球面x2+y2+z2=1,為其往外之單位法向量。向量場,則=________
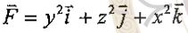
8.向量場的旋度=_______
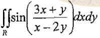
計算題 (1)設R為xy一平面上,由四直線2x+3y=0,3x+y=0,xー2y=1,xー2y=2所圍城之區域。求
(2)設C由兩曲面和x3=9yz+4相交成之曲線,求其上一點之單位切向量