所屬科目:研究所、轉學考(插大)-微積分
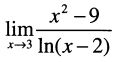
(2)
4. Find the volume of the solid formed by revolving the region bounded by the graphs of y = and y = x² about the x-axis, as shown in Figure 1. (15 分)
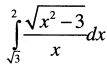
(1)
(3)
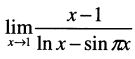
(4)
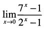
(5)
6. z =, x = cos t, y = sin t, find . (10 分)
7. Evaluate . (10 分)
8. Prove using Taylor expansion at x = 0. (10 分)