所屬科目:研究所、轉學考(插大)-微積分
1. Find the equation of the tangent line to f(x) = at x = 2.
3. Find the limit,
4. Find the speed of the particle when it crosses the x-axis the first time. The particle's position is given by the parametric equations:
5. Use the Fundamental Theorem to compute the integral exactly. dx
6. Evaluate the integral.sin(x) dx
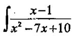
7. Evaluate the integral. dx
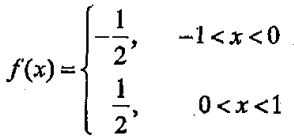
10. Solve the initial value problem. y'=, y(0) = 0
11. Find if f(x, y) = 3x3 - xy² +x²y + 5y³.
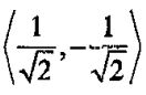
12. Compute the directional derivative of f(x, y) = x²+y²-xy+6 at the point (2, 1) in the direction of the unit vector u =.
1. (10%) Find a power series representation of f(x) about c = 0 and give the interval of convergence. f(x) = .
2. (12%) Find the Fourier series of the function on the given interval.