所屬科目:研究所、轉學考(插大)-微積分
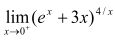
1. Find .
2. Find the slope of the tangent line to the graph x3+y3-6xy=0 at point ().
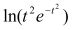
3..
4. Evaluate the iterated integral . (Note that it is necessary to switch the order of integration.).
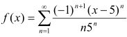
5. Find the interval of convergence of .
6. Find dy/dx given the equation y3-y+2x3-x=8
7. Find the derivative of the function g(t)=
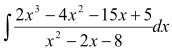
8. Evaluate
9. Compute the first partial derivatives of each of the function h(u,v)=
10. Find the second-order partial derivatives of the function f(x,y)=