所屬科目:高中指考◆物理
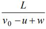
1.已知無風時,空氣中的聲速是v0。而某日風速為w,一輛警車以速度u(w<u<v0) 在筆直的公路上前進。假設u、w方向相同,在某一時間,車上的警笛開始響起, 這時在它正前方距離L處的靜止聽者,過了多少時間後才會開始聽到警笛聲? (A)(B)(C)(D)(E)
2.某生以波長0.25埃的X光照射石墨,做康卜吞散射實驗,並在散射角120°處測量 散射後X光之光譜。試問該生測得的光譜,其峰值的個數及其對應的波長為何?(康卜吞散射公式為∆λ=(1−cosθ),而=0.0243埃) (A)有一個峰值,其波長為0.21埃 (B)有一個峰值,其波長為0.25埃 (C)有一個峰值,其波長為0.29埃 (D)有二個峰值,其波長為0.25埃與0.29埃 (E)有二個峰值,其波長為0.21埃與0.25埃
3.一艘質量為2.40×106kg、體積為2800m3的潛艇,浮在長和寬分別為80m和10m的船塢中,這時水深為8.0m。 當潛艇自船塢本身抽入0.60×106kg的水而完全沈入水中 時,船塢裡水位的變化約為多少? (A)下降0.75m(B)下降0.25m (C)不變(D)上升0.50m (E)上升0.75m
4.一人在水平地面上,分別以斜向上拉及斜向下推等兩種方式使行李箱等速度往前移動,若拉力及推力與水平面的夾角皆為θ,如圖1所示。已知行李箱與地面的動摩擦係數為0.30,且sinθ=0.60,cosθ=0.80,則拉力大小為推力大小的幾倍? (A)0.40(B)0.63(C)0.81(D)1.00(E)1.60
5.在直線等加速度運動實驗中,如果打點計時器的打點頻率為50Hz,今取其中一段打 點記錄,並將連續相鄰的點依序編號,測量編號10〜15以及編號60〜65的點距如圖2所示,則加速度的量值約為多少cm/s2 ? (A)70(B)80(C)90(D)100(E)500
6.有兩個體積相同、質量分別為M和2M的小圓球甲和乙,以一細直剛棒(受力不變形 的棒)相連,置於光滑水平面上,剛棒的質量及空氣阻力可忽略。 今於某一極短的時間內,在棒的中心處施一衝量 ,其俯視圖如 圖3所示。考慮在此衝量作用結束後,有關此二球和棒的運動情形,下列敘述何者正確?(剛體受力運動可解析成質心的直線運動及繞質心的轉動) (A)兩球系統的質心以等速度作直線運動,棒不旋轉 (B)兩球系統的質心以等加速度作直線運動,棒不旋轉 (C)兩球系統的質心以等速度作直線運動,棒順時針旋轉 (D)兩球系統的質心以等速度作直線運動,棒逆時針旋轉 (E)兩球系統的質心以等加速度作直線運動,棒順時針旋轉
7.已知質子之質量為1.0073u,氦原子核之質量為4.0026u,鋰原子核之質 量為7.0160u。以具有700keV動能的質子去擊打鋰靶,而產生二個氦核。依愛因斯坦的E=mc2質能互換公式估算,兩個氦核所帶的總動能約為多少? (A)140keV(B)700keV(C)17.6MeV(D)28.4MeV(E)46.6MeV
8.如圖4所示,一瓷碗之碗口直徑為12公分,中央深度為8.0公分。在此碗注滿水後, 於其中央放置一顆小豆子,眼睛在距離水面18公分的水平面之1、2、3、4和5位 置,注視碗中的小豆子。1號位置是在碗中央的正上方,而相鄰位置各相隔6公分。 有哪些位置可以看見碗中的小豆子?(假設水的折射率為4/3) (A)僅有1(B)僅有1和2(C)僅有2和3 (D)僅有1、2、3 和 4 ( E ) 5 個位置都可以看到
9.如圖5所示,一直角三角形線圈兩邊長分別為a及l、電阻為R,以等速度v通過一 範圍為d(d>a)強度為B的均勻磁場,磁場的方向為垂直射入紙面,在時間t=0時, 線圈的前緣恰接觸磁場的邊緣。則線圈上的感應電流i與時間t的關係圖是下列何 者?(設電流逆時針方向為正) (A)(B) (C)(D) (E)
10.某生利用二極體做整流實驗,他想測試整流電路中的二極體和負載電阻R是否均能 正常工作,於是將二極體與電阻兩元件的組合(如圖6)取下後,以設在歐姆檔位的三 用電表做測量。如下列所示,甲〜戊為三用電表「+」、「-」接頭與元件的各種可 能接法: 甲:+接U,−接W 乙:+接W,−接U 丙:+接U,−接V 丁:+接V,−接U 戊:+接V,−接W 下列測試過程的選項中,何者可以用最少的步驟,完整且正確地判 斷各元件是否均能正常工作? (A)甲(B)乙、然後丙(C)丙、然後戊 (D)丙、丁、然後戊(E)乙、丙、丁、然後戊
11.如圖7所示的電路中,電池的端電壓為9.0V,R1與R2為電阻,O、P兩點間的電壓為X,通過R1及R2的電流分別為i1及i2。若,則下列哪些選項正確?
(A)X=4.5V(B)X=6.0V (C)X=7.5V(D) (E)
12.質量與體積完全相同的甲、乙兩均質光滑圓球,在光滑水平面上發生完全彈性碰撞, 碰撞前乙球靜止,甲球以速率v向右撞向乙球。下列有關兩球碰撞的敍述何者正 確 ? (A) 若為對正碰撞,碰撞後甲球靜止,乙球以 v 向右運動 (B) 若為對正碰撞,碰撞後甲、乙兩球均以 v /2 的速率向右運動 (C) 若不是對正碰撞,碰撞後兩球速度的夾角一定小於 90° (D) 若不是對正碰撞,碰撞後兩球的速度一定相互垂直 (E) 不論是否為對正碰撞,碰撞前後兩球的動量和與動能和不變
13.若樂器的空氣共振腔,為一端閉口,另一端開口之圓柱型空管,而圓柱型空管內之 聲速為v,其長度為L,則下列哪些敘述正確? (A)這樂器基音的頻率為(B)這樂器可演奏出頻率為與的泛音 (C)空氣分子在開口端的縱向(聲波傳遞方向)最大位移比閉口端的縱向最大位移大 (D)空氣分子在開口端的縱向(聲波傳遞方向)最大位移與閉口端的縱向最大位移相等 (E)若改用兩端都開口之空管,則基音的頻率會升高
14.小明對某定量理想氣體做壓力P與體積V在恆温下的實驗,温度為T1與T2時的P-V 曲線如圖8所示。已知T1為27℃,下列有關此理想氣體的敍述何者正確? (A)此理想氣體分子的方均根速率在T1與T2時相同 (B)此理想氣體約為27莫耳 (C)此理想氣體約為2.4莫耳 (D)T2約為400℃(E)T2約為127℃
15.如圖9所示,在一厚度均勻的石英玻璃片上,鍍有甲、乙兩種透光性極佳的均勻薄 膜,它們的寬度都為0.25mm、厚度都為2.7µm。一直徑約為0.40mm、波長為432 nm的雷射光束對準兩膜的中心C處垂直膜面入射,若甲膜的折射率為1.52,乙膜的 折射率為1.60,則下列敍述哪些選項正確? (A)甲膜內與乙膜內的雷射光頻率相同 (B)甲膜內與乙膜內的雷射光波速相同 (C)甲膜內的雷射光波長大於乙膜內的雷射光波長 (D)甲膜內的雷射光波長小於乙膜內的雷射光波長 (E)若使穿透甲、乙兩膜的雷射光束,利用透鏡使之交 會於透鏡焦點處,則在該處會產生破壞性干涉
16.如圖10所示,在某一瞬間,有一電量為+q(q>0)的粒子,距離一鉛垂直立且載有電流i的長直導線R處,以v的速度平行導線鉛垂向上運動。設x及y的方向如圖中 所示,垂直射入紙面方向為+z;若不計地磁的影響,在此瞬間,下列哪些敘述正確? (A)帶電粒子不受電磁力 (B)帶電粒子受電磁力的方向在+z方向 (C)帶電粒子受電磁力的方向在+x方向 (D)帶電粒子受到一電磁力,其量值與qivR成正比 (E)帶電粒子受到一電磁力,其量值與成正比
17.在水池上有兩個高度同為H,但不同形狀的滑水道。甲、乙兩人分別同時自此二水道頂端,由靜止開始下滑,如圖11所示。若摩擦力可忽略,下列敘述中哪些是正確的? (A)下滑很短時間後,甲的速率比乙大 (B)到達水道底端時,甲的速率比乙大 (C)到達水道底端時,甲和乙的速率相同 (D)下滑過程中,甲的速率愈來愈大 (E)下滑過程中,甲沿水道切線方向的加速度愈來愈大
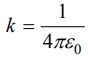
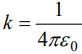
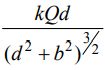
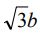
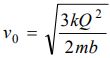
18.如圖12(a)所示,半徑為b且位置固定的細圓環上,帶有總電量為+Q(Q>0)的均勻電 荷,O點為圓環的圓心,z軸通過O點且垂直於環面,P點在z軸上,它與O點的 距離為d。令為庫侖定律中的比例常數,距離O點無窮遠處的電位為零,則 下列敘述哪些正確? (A)圓心O點的電場量值為 (B)P點的電場量值為(C)P點的電位等於 (D)O點的電位等於 (E)質量為m的點電荷-q(q>0)從O點以初速沿z軸射出,如圖12(b)所示, 則此點電荷移動距離後,其速度減為零
1.若點電荷-Q以v射出,繞+Q作半徑為b的等速率圓周運動,如圖13(a)所示, 令為庫侖定律中的比例常數,求v(2分)
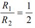
3.承第2小題,若,求-Q在A點的速率(以v0及數字表示)及a的大小(以b及數字表示)(4分)