所屬科目:研究所、轉學考(插大)-微積分
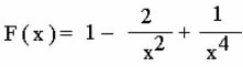
1.Expand the Taylor series at x = 0 of the following function and find the radius of convergence.
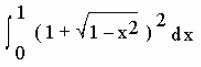
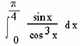
3.Sketch the graph of the following function
(I)
(II)
(III)