所屬科目:研究所、轉學考(插大)-微積分
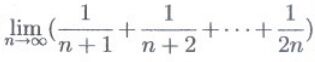
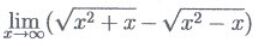
(a)
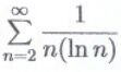
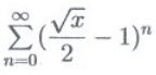
(b)
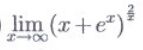
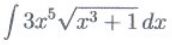
(c)
2. For what value of a and b willbe differentiable for all values of x?
3. Sketch the graph of the function f(x) =.
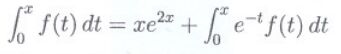
4. If f is a continuous function such thatfor all x, find an explicit formula for f(x).
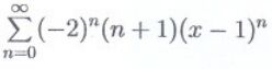
9. Find the Taylor series generated by f(x) = = 1.
10. Find and at the point (1, In2, In3) if +2 lnx -2-3 ln 2 =0
11. Use the linear approximation to approximate the number