阿摩線上測驗
登入
首頁
>
研究所、轉學考(插大)-微積分
> 97年 - 97 淡江大學轉學考_商管組二年級:微積分#55523
97年 - 97 淡江大學轉學考_商管組二年級:微積分#55523
科目:
研究所、轉學考(插大)-微積分 |
年份:
97年 |
選擇題數:
0 |
申論題數:
12
試卷資訊
所屬科目:
研究所、轉學考(插大)-微積分
選擇題 (0)
申論題 (12)
1.
2.The equation of the tangent line to the curve y = x
3
at the point(-1,0) = ____
3.The area of the region that is bounded by y= √x,y = x-2 and the
4
5.
6.
7. A sum is invested at 15% compounded continuously. How long will it triple?____ (ti: In3 = 1.0986 )
8. A furniture showroom expects to sell 250 sofas a year. Each sofa costs the store $300, and there is a fixed charge of $500 per order. If it costs $100 to store a sofa for a year, how often should orders be placed to minimize inventory costs?____
9„ A store can sell 20 bicycles per week at a price $400. each. The manager estimates that for each $10 price reduction she can sell two more bicycles per week. The bicycles cost the store $200 each. Find the price of the bicycles and quantity that maximize profit?____
10. Suppose that r(x) = 9x and c(x)=x
3
-6x
2
+ 5x represent the revenue and cost function, respectively, where x represents thousands of units. The production level that maximize profit = ____
計算題(每題10分)必須列出過程,否則不予計分
二、 Sketch the graph of y=x
4
-4x
3
+ 10, identify the extrema points and inflection points.
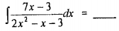
三、
相關試卷
114年 - 114 臺灣綜合大學系統_學士班轉學生考試試題:微積分A#137897
114年 · #137897
114年 - 114 臺灣綜合大學系統_學士班轉學生考試試題:微積分B#137819
114年 · #137819
114年 - 114 台灣聯合大學系統_學士班轉學生考試試題:微積分#137762
114年 · #137762
114年 - 114 台灣聯合大學系統_學士班轉學生考試試題:微積分#137761
114年 · #137761
114年 - 114 國立臺灣大學_轉學生招生考試_物理學系/土木工程學系/生物環境系統工程學系/生物機電工程學系:微積分(B)#137745
114年 · #137745
114年 - 114 國立臺灣大學_轉學生招生考試_數學系:微積分(A)#137744
114年 · #137744
113年 - 113 國立嘉義大學_轉學生招生考試試題_(全校):微積分#122986
113年 · #122986
112年 - 112 國立臺灣大學_碩士班招生考試題:微積分(D)#130254
112年 · #130254
112年 - 112 國立陽明交通大學_碩士班入學招生試題_統計學研究所﹕微積分與線性代數#130252
112年 · #130252
112年 - 112 國立嘉義大學_轉學生招生考試試題:微積分#123297
112年 · #123297