所屬科目:研究所、轉學考(插大)-微積分
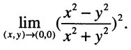
1. (10 分) Show that the following limit does not exist.
(a) (5 分) f(x) =cos x
(b) (5 分) f(x) = + 5sin x
(c) (5 分) f(x) =
(a) (5 分)∫x2 ex3dx
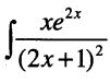
(b) (10 分)dx
4. (10 分) g(x) =f(t)dt, where $f$ is a function whose graph is shown as Fig. 1. Calculate g(6) and g'(6).
5. (5 分) Use the Integral test to determine the convergence or divergence of the following series.
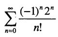
6. (5 分) Use the Ratio or Root Test to determine the convergence or divergence of the following series.
9. (20 分) Using Green's Theorem, evaluate clockwise around the boundary curve C of the region R = {(x, y) R | 1≤ y≤2 - x2}, where F= (x2 + y2)i + (x2 - y2)j. (10 分) (請說明 Green's theorem 之公式 (5 分)、畫出 R 之圖形 (5 分))