所屬科目:研究所、轉學考(插大)-微積分
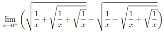
1. =_________
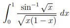
2.=_________
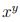
3. If f(x) =, for x > 1, then f'(e) =_________
4. If f(x) =dt, for x , then =_________
5.=_________
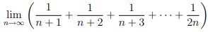
6.=_________
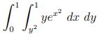
7. =_________
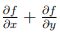
8. If f(x,y) = , for x >0 and y , then =_________
9. The equation for the tangent plane to the surface x2 + 4y2 + 9z2 = 3 at the point is ________.
10. The shortest distance between the parabola y = x2 and the point (6, 3) is ________.
1. Define f(x, y) = for x, y . Show that f is not differentiable at (0,0).
2. Let f(x) =Show that f is differentiable at each x and that f' is not continuous at 0.
3. Two right circular cylinders of radius 1 have axes that intersect at right angles. Find the volume of the solid common to the two cylinders.