所屬科目:研究所、轉學考(插大)-微積分
1. Find where y = f(t) dt.__(1)__.
2. At what points on the curve γ given by the equation y = x³ - 3x² + 2 is the tangent line parallel to the line y = 9x + 4?__(2)__
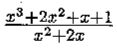
3. Determine I = ∫dx.__(3)__
4. Evaluate I = |1 - x²| dx.__(4)__
6. Find if x = t4 + t, y = t3 - t.__(6)__
7. Find the area A of the region interior to the right branch (x ≥ 0) of the curve described by the equation (x² + y²)² = a²(x² - y²), a > 0.__(7)__
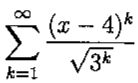
8. Determine the interval of convergence for the series __(8)__S(x) = .
10. Find the average of the function f(x) = cos(t²) dt on the interval [0, 1].__(10)__