所屬科目:研究所、轉學考(插大)-微積分
1.Show that the point (2,4) lies on the curve x3+y3-9xy =0 . Then find the tangent and normal to the curve on point (2,4).
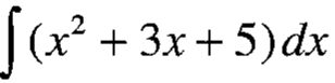
a.
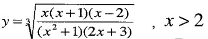
b.
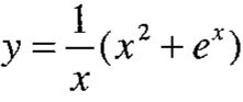
c.
3.Radioactive isotopes are often characterized by their half-life. Fill each of the four blanks (i) (iv) in the table below. Carefully show step-by-step algebra that justifies your answers for (i) - (iv), as indicated.
4. Let h(x) be the function graphed below, and suppose that the shaded region has area equal to 1. Find the average value of h(x) over the interval -2 ≤ x ≤ 3.
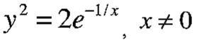
d.
f.
a.=________
b.=________
c.=________
d.=________
e.=________