所屬科目:研究所、轉學考(插大)-微積分
1. Show that (Hint: Riemann sum)
(b) Find
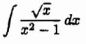
3. Find (Hint:x=u2)
4. Find (Hint: integration by parts twice)
5. Fiad (Hint: pinching or sandwich theorem)
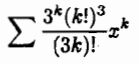
6. Find the radius of convergence of the power series
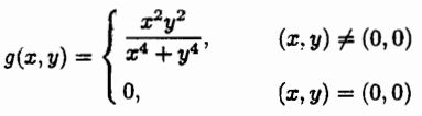
9. Let Show that does not exist.
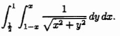
10. Use polar coordinates to compute (Hint: cosθ +sinθ=