所屬科目:研究所、轉學考(插大)-微積分
(b) Evaluate the value Γ().
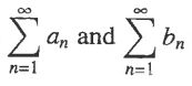
(a) If bothconverge absolutely, thenanbn also converges absolutely.
(b) If p>1, then the seriesconverges.
(a) Prove that the volume of S isπ.
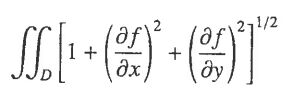
5. (20%) Let D = [a, b] × [c, d] be a rectangle in R² and f: D → R be a continuous function whose partial derivatives are continuous. Show that the surface area of z = f(x, y) is given by dxdy.