所屬科目:研究所、轉學考(插大)-微積分
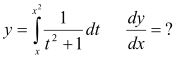
1.
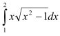
2.
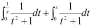
3.
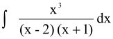
4.
5.
6.
二、f(x)=x4+x3+3x2+1,求f的反曲點及凹向性
三、請敘述微積分基本定理,並舉例說明
四、Show the function f(x)= is constant for x>0.
(A)
(B)
六、Determine if the series converges or diverges.
七、Evaluate the line integral where C is the path from (0, 0) to (1, 1) along the graph of y=x3 and from (1, 1) to (0, 0) along the graph of y=x.
八、Let R be the region bounded by the square with vertices (0, 1),(1, 2), (2, 1) and (1, 0). Evaluate the integral .