所屬科目:研究所、轉學考(插大)-微積分
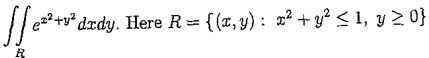
(1)
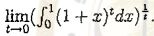
(2)
4. Find all absolutely extrerne values of the function f(x, y) = x2+3y2 +y subject to the constraint x2+y2≤1.
(1)r=2a cosθ, a>0.
(2)r=2(1+cosθ).