所屬科目:研究所、轉學考(插大)-微積分
3. Evaluate the integral [5 marks]
4. Evaluate the integral sec2θtan2θdθ . [5 marks]
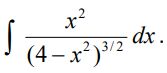
5. Evaluate the integral [15 marks]
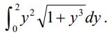
6. Evaluate the integral [15 marks]
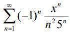
9. Find the radius of convergence and interval of convergence for the series . [10 marks]