所屬科目:研究所、轉學考(插大)-微積分
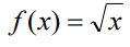
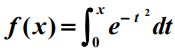
2. Let . Find f ' (0) ? _____________
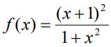
3. Let . What is the maximum value of f (x) ?_____________
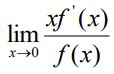
4. If , then=?_____________
5. Find the area of the region bounded by the graphs of and g(x) = -x on the interval [0, 1]. _____________
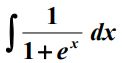
6. =? _____________
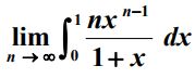
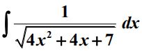
7. =? _____________
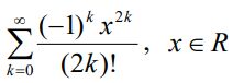
1. Show that cos x=. (10%)
2. The region bounded by the curve , the x-axis, and the line x = 4 is revolved about the x-axis to generate a solid. Find the volume of the solid by two different methods (Disk method and Shell method). (8%)
(a)
(b)
(c)
(d)
(e)
4. Let . Find f(7)(0). (10%)
5. Let g (x) be the inverse function of f(x ) =x ln x for x ≥ 1 . Find . (10%)