所屬科目:研究所、轉學考(插大)-微積分
1. Determine the slope of 3(x2+y2)2 =100xy the graph of at the point (3,1).
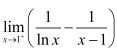
2. Evaluate .
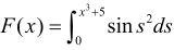
3. Find the derivative of the function .
4. Find the area of the surface formed by revolving the graph of f(x)=x2 on the interval about the y-axis.
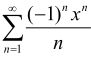
5. Find the interval of convergence of .
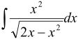
6. Evaluate .
7. Evaluate .
8. Differentiate implicitly to find the first partial derivatives and of z from the equation z=.
9. Find the volume of the solid generated by revolving the region bounded by y=4x-x2 and y = 0 about the line x = 5.
10. Find a power series for the function f(x)=, centered at c=3, and determine the interval of convergence.