所屬科目:研究所、轉學考(插大)-微積分
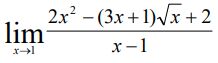
(a) (8%)
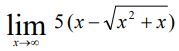
(b) (8%)
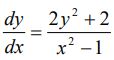
4 Solve the differential equation , y(0) = 1. (8%)
5 Find when r = 1 , s = −1,
if w= (x+y+z)2, x= r−s , y= cos(r + s) , z= sin(r+ s ) . (8%)