阿摩線上測驗
登入
首頁
>
公職◆系統分析與設計
> 99年 - 099年第二次司法人員三等系統分析#46616
99年 - 099年第二次司法人員三等系統分析#46616
科目:
公職◆系統分析與設計 |
年份:
99年 |
選擇題數:
0 |
申論題數:
9
試卷資訊
所屬科目:
公職◆系統分析與設計
選擇題 (0)
申論題 (9)
一、電子公文線上簽核是政府 e 化趨勢,請以「電子公文線上簽核系統」準備測試上線 為例,來說明何謂 α 測試?何謂 β 測試?又何謂迴歸測試?(20 分)
⑴請問何謂人月?(3 分)
⑵請舉出至少三種在軟體工程中估計人月數的方法。(6 分)
⑶請問上述該專案原估計的人月數值 x 究竟是多少人月?該小組目前人力究竟是多 少人?(6 分)
⑷該專案有可能接受校長建議,新增短期人力 8 人後,在 3 年內完成嗎?請解釋你 的理由。(10 分)
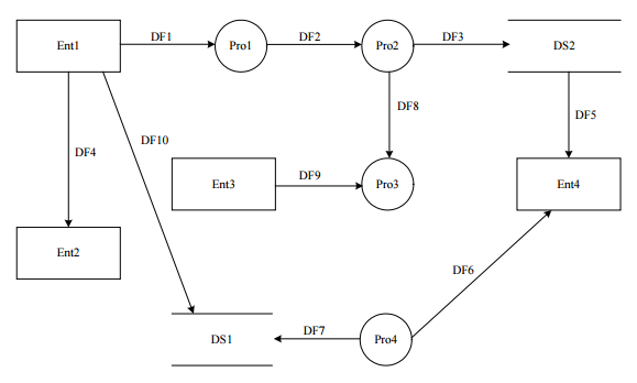
三、下圖的資料流圖(Data Flow Diagram)中,Pro1、Pro2、Pro3、Pro4 為 Process; DS1、DS2 為 Data Store;Ent1、Ent2、Ent3、Ent4 為 Entity,其餘 DF1、DF2 等為 Data Flow,這圖有幾處語法錯誤,請一一指出其錯誤之處。(25 分)
⑴學生有不同分類,依其層級(level)可分為互斥的兩類:「研究生」(Graduate Student)、「大學生」(Undergrad Student)。而其國籍居住地(residency)又 可分為互斥的兩類:「本地生」(Local Student)、「國際學生」(International Student)。
⑵所有學生都有學號(sid)、姓名(name)、地址(address)的屬性。研究生有 GRE 成績(greScore)。大學生有學測成績(satScore)。本地生有身分證字號(ssn)。 國際學生有托福成績(toeflScore)。
⑶所有學生都有評估入學申請(review-appln())及就業輔導(place-student(job))的 操作。然而,研究生與大學生評估入學申請的程序有些不同。而國際學生就業輔 導的內涵也不同。國際學生又另有中文流利能力輔導(chineseProficiency())的操 作。
相關試卷
114年 - 114 關務升官等考試_簡任_技術類(選試系統分析研究)—關務:系統分析研究#133195
114年 · #133195
114年 - 114 高等考試_二級_資訊處理:系統分析與設計研究#131596
114年 · #131596
114年 - 114 調查特種考試_三等_資訊科學組:系統分析與設計#129572
114年 · #129572
113年 - 113 高等考試_二級_資訊處理:系統分析與設計研究#123056
113年 · #123056
113年 - 113 調查特種考試_三等_資訊科學組:系統分析與設計#122101
113年 · #122101
113年 - 113 司法特種考試_三等_檢察事務官電子資訊組:系統分析#122099
113年 · #122099
112年 - 112 關務升官等考試_薦任_技術類(選試系統分析)-關務:系統分析#117084
112年 · #117084
112年 - 112 高等考試_二級_資訊處理:系統分析與設計研究#116734
112年 · #116734
112年 - 112 司法特種考試_三等_檢察事務官電子資訊組:系統分析#116198
112年 · #116198
112年 - 112 調查特種考試_三等_資訊科學組:系統分析與設計#116179
112年 · #116179