阿摩線上測驗
登入
首頁
>
輸配電學
> 99年 - 099年警察人員及99年交通事業鐵路人員員級_電力工程#33908
99年 - 099年警察人員及99年交通事業鐵路人員員級_電力工程#33908
科目:
輸配電學 |
年份:
99年 |
選擇題數:
0 |
申論題數:
5
試卷資訊
所屬科目:
輸配電學
選擇題 (0)
申論題 (5)
【已刪除】一、針對如下圖所示的單相
T
型電路,試求其等效
ABCD
傳輸參數。(20 分)
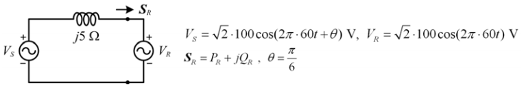
【已刪除】二、在下圖所示的單相電路中,試求送至受電端的實功率P
R
及虛功率Q
R
各為多少瓦(W)及 乏(VAR)。而若要得到最大的P
R
值,試問其中送電端的電壓角θ 應調為多少?(20 分)
三、如果一台三相∆−∆型連接之理想變壓器的一、二次側線間電壓比為 100 : 500。在此變 壓器一次側端點間供應 173.21 V(均方根值)的平衡三相電壓情況下,試問若此變壓 器之二次側連接至一組 Y 型連接的平衡三相負載,且每相(端點至中性點)負載阻抗 大小為 80 + j60 Ω的操作條件時,傳送至此一負載的三相總實功率為多少瓦(W)? (20 分)
四、一組 Y 型連接的平衡三相負載之總實功率需求為 3.0 kW,而其操作的功率因數為 0.8 滯後。如果此負載之端電壓為 346.41 V(線對線均方根值),操作頻率為 50 Hz,則 試求欲將此三相負載調整為操作功率因數為 1.0 時所需並聯的每相電容值(三相 Y 型 連接)大小為多少法拉(F)?(20 分)
五、試說明交流輸電線路中的集膚效應原因及現象?(20 分)
相關試卷
114年 - 114 地方政府公務特種考試_四等_電力工程:輸配電學概要#134797
114年 · #134797
114年 - 114 普通考試_電力工程:輸配電學概要#128759
114年 · #128759
113年 - 113 地方政府公務特種考試_四等_電力工程:輸配電學概要#124495
113年 · #124495
113年 - 113 普通考試_電力工程:輸配電學概要#121395
113年 · #121395
112年 - 112 地方政府特種考試_四等_電力工程:輸配電學概要#118361
112年 · #118361
112年 - 112 普通考試_電力工程:輸配電學概要#115762
112年 · #115762
112年 - 112 鐵路特種考試_員級_電力工程:輸配電學概要#114947
112年 · #114947
111年 - 111 地方政府特種考試_四等_電力工程:輸配電學概要#112369
111年 · #112369
111年 - 111 中華郵政股份有限公司_職階人員資產營運及工程類科甄試_專業職一-電子工程:輸配電學概要#111690
111年 · #111690
111年 - 111 中華郵政股份有限公司_職階人員資產營運及工程類科甄試試題_專業職(一)/電力工程:輸配電學概要#111521
111年 · #111521