阿摩線上測驗
登入
首頁
>
自動控制學
> 99年 - 099年高等一級暨二級二級自動控制學#46335
99年 - 099年高等一級暨二級二級自動控制學#46335
科目:
自動控制學 |
年份:
99年 |
選擇題數:
0 |
申論題數:
5
試卷資訊
所屬科目:
自動控制學
選擇題 (0)
申論題 (5)
一、一控制系統之信號流程圖(signal flow graph)如下圖所示,試求此系統之一閉迴路 轉移函數(closed-loop transfer function)Y2(s)/R1(s)。(25 分)
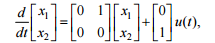
【已刪除】二、考慮一控制系統如下所示
此系統可表示為
令系統之輸入為
, 假設系統之初始條件(initial condition)為
c 為常數(constant),並選擇無阻尼自然頻率(undamped natural frequency)為 2 rad/sec。 請決定 k
1
及 k
2
之值,可使下列之性能指標(performance index)為最小。
(25 分)
⑴試求此系統之狀態微分方程式(state differential equation)。(15 分)
⑵試說明此系統是否為可控制(controllable)。(10 分)
【已刪除】四、考慮一控制系統如下所示
試求 k 及 a 之值,而可使該系統受到一單位步階輸入(unit-step input)時,其穩態 誤差(steady-state error)為零。(25 分)