阿摩線上測驗
登入
首頁
>
自動控制學
>
99年 - 099年高等一級暨二級二級自動控制學#46335
>
題組內容
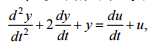
三、一系統之微分方程式可描述如下
定義狀態變數為 x
1
= y x
2
= dy / dt − u ,
⑴試求此系統之狀態微分方程式(state differential equation)。(15 分)
其他申論題
⑼沉澱櫃
#157937
⑽淡水櫃
#157938
一、一控制系統之信號流程圖(signal flow graph)如下圖所示,試求此系統之一閉迴路 轉移函數(closed-loop transfer function)Y2(s)/R1(s)。(25 分)
#157939
【已刪除】二、考慮一控制系統如下所示 此系統可表示為 令系統之輸入為 , 假設系統之初始條件(initial condition)為 c 為常數(constant),並選擇無阻尼自然頻率(undamped natural frequency)為 2 rad/sec。 請決定 k1 及 k2 之值,可使下列之性能指標(performance index)為最小。(25 分)
#157940
⑵試說明此系統是否為可控制(controllable)。(10 分)
#157942
【已刪除】四、考慮一控制系統如下所示試求 k 及 a 之值,而可使該系統受到一單位步階輸入(unit-step input)時,其穩態 誤差(steady-state error)為零。(25 分)
#157943
【已刪除】一、如圖所示的電路,L=10 μH,已知開關截止時,電流的變化率為 d, 試求開關耐壓?(10 分)
#157944
二、試比較一般矽元件二極體與 SiC 二極體特性差異。(5 分)並分別說明其應用的範 疇。(5 分)
#157945
三、如圖所示的單開關升壓型轉換器,何謂邊界模式控制?(5 分)其優點為何?(5 分) 原因為何?(10 分)
#157946
【已刪除】四、如圖所示的單相變頻器,何謂單極性(Uni-Polar)脈波寬度調變?(10 分)若輸入側 直流電壓為 400 V 且輸出側交流電壓均方根值為 200 V,試求調變指數(Modulation Index)?(10 分)
#157947