所屬科目:研究所、轉學考(插大)-微積分
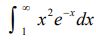
1.=________
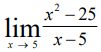
2.=________
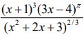
3.=________
4. If f(x) =, then f'(0) =________
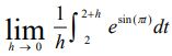
5. If f(x) =, then =________
6. =________
7.=________
8.=________
9. If f (x) = x5 + 2x3 - 3, then =________
10. =________
二. 計算證明題: 1. Use the definition of limit to give an ε - δ proof of =10.
2. Use the mean value theorem to prove |cos b - cos a| ≤ |b - a|.
3. Find the maximum and minimum values of f(x, y) = 2 - x² - y² on the closed and bound set S = {(x, y) | x² + 4y² ≤ 4}.