所屬科目:研究所、轉學考(插大)-微積分
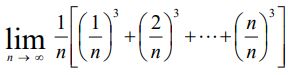
1. =______
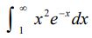
2. =______
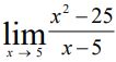
3.=______
4. If f(x) =, then f'(0) =______
5. If f(x)=, then =______
6. sin4x cos3x dx=______
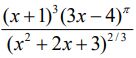
7.=______
8.=______
9. If f (x) = x5 + 2x3 - 3, then (f⁻¹)'(0) =______
10.=______
二. 計算證明題1.Use the definition of limit to give an ε - δ proof of =10.
2. Use the mean value theorem to prove |cos b - cos a| ≤ |b - a|.
3. Find the maximum and minimum values of f(x, y) = 2 - x² - y² on the closed and bound set S = {(x, y) | x² + 4y² ≤ 4}.