所屬科目:研究所、轉學考(插大)-微積分
1. Use the fact that = 1 to find the value of . (A)∞ (B)0 (C)1 (D)(E)
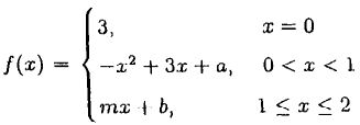
2. Fur what values of a,m, and b does the functionsatisfy the hypotheses of the Meau Value Theorem on the interval [0,2]? (A) a=3,m= 1,b=4(B) a = 3,m= 2,b=3(C) a =3,m= 4,b =1 (D) a=2m=1,b=3(E) None of the above
3. Define(A) Does not exist (B) 1 (C)2 (D) (E)0
4. Assume a = 2tant,y = sec2t - 1. Find an equation for the line tangent to the curvo at the point where t =. (A) y=-x-1(B)y=-x+1(C)y=x (D)y=x+1 (E)y=x-1
5. Find the limit: (A)∞ (B)-∞ (C)-1 (D)0 (E) 1
6. Find the limit: (A)1 (B)(C)0 (D)2 (E) Does not exist
8 Find the surface area of the portion S of the cone z2 = x2 + y2,where z ≥ 0, contained within the cylinder y2 + z2 ≤1. (A)0(B)ㅠ (C)-ㅠ (D)2ㅠ (E)-2ㅠ
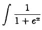
1. Evaluate the indefnite integral dx.Answer : __________________
3. What is the value of the double integral dxdy? Answer :__________
(b) Determine if the improper integral converges or diverges?(5分)
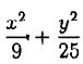
2. Find the maximum area of a rectangle inscribed in the ellipse =1.(10分)