所屬科目:研究所、轉學考(插大)-微積分
1.=_______
2.=_______
3.若為連續函數,則α值為______
4.=_______
5. =_______
6.已知f(x)=,則f'(x)=_______
7.已知y2+y+3x+1=0,求=_______
8.若,則其中數C=_______
9.其收斂區間為_______
10. =_______
(1)=_______
(2)=_______
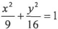
2.在必須滿足限制的條件下,求f(x,y)=4xy的相對極值。
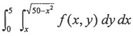
3.(1)畫出之積分區域;(化)列出其積分次序互换後之積分式·
4.令Q為座標平面(即:xy-,yz-,xz-平面)與平面2x+2y+z=6圍成之固體,而, 試驗證散度定理(Divergence Theorem)。,y,z>