所屬科目:研究所、轉學考(插大)-微積分
1. (10%)以ε-δ證明 (i.e. find the largest δ that works for the given ε)= 2.
(a) (10%) Please describe the mean-value theorem and prove it.
(b) (10%) Set f(x)= x-1, a = -1, b=1. Verify that there is no number c for
which f'(c)=[f(b)-f(a)]/(b-a). Explain how this does not violate the mean-value theorem.
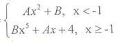
3. (10%) Find A and B given that the derivative off(x) =is continuous for all x.
4. (10%) Estimate f (5.4) given that f (5)=1 and f'(x) = .
5. (10%) Find the volume of the solid generated by revolving the regionbetween y = , 0 ≤ x ≤ 1 and y= x², 0 ≤ x ≤ 1, around the line x = -2.
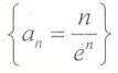
6. (10%) Find the least upper bound and greatest low bound of the sequence.
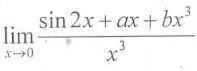
7. (10%) Find values for a and b so that= 0.
8. (10%) Let r be a positive number. For what values of r (if any) does
converge?
9. (10%) Find the Taylor series of f(x)=1/ in powers of x.