所屬科目:研究所、轉學考(插大)-微積分
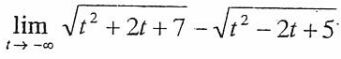
1.試求極限=________
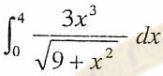
2.試求定積分=________
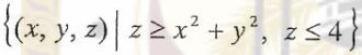
5.設K=,若在K上的點(x,y,z),其密度函數為 ρ(x,y,z)=24z,則K的質量中心為______
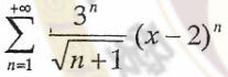
6.冪級數的收歛區間為_____
7.設 f(x)=,試求導數f'(2)=_____
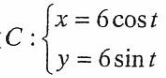
9.設其中0≤t≤2π為一曲線,試求線積分