所屬科目:研究所、轉學考(插大)-微積分
(i) (8 points) Find the area of the region in the first quadrant that is bounded above by y = and below by the x-axis and the line y = 2x - 4.
(ii) (8 points) The region in the first quadrant that is enclosed by the x-axis and the curve is revolved about the y-axis is to generate a solid. Find the volume of the solid.
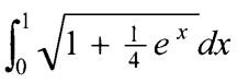
(i) (8 points) Find a curve through the origin in the xy-plane whose length from x = 0 to x = 1 is L =.
(ii) (8 points) The function f(x) = eˣ + 2x, being differentiable and one-to-one, has a differentiable inverse f⁻¹(x). Find the value of at point f(ln 2).
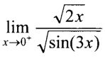
(ii) (4 points) Find .
(iii) (4 points) Find.
(iv) (6 points) Solve the initial value problem:(t² + 2t)= 2x + 2 (t, x>0), x(1) = 1.
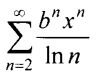
(v) (6 points) Find a value for the constant b that will make the radius of convergence of the power series equal to 5.