所屬科目:研究所、轉學考(插大)-微積分
(a)
(b)
(c)
(d)
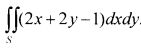
3.S is the region formed by x=y, x+y-3=0 and x=0. Please find the double integral of .
(a) y =
(b) y =
(c) y =
(d) y =