所屬科目:研究所、轉學考(插大)-微積分
(a) If f '(0)=-1 , then =________.
(b) Let , then f (4)=________.
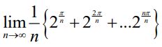
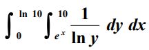
(c) =________.
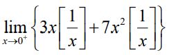
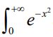
(d) =________.
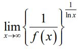
(e) =________.
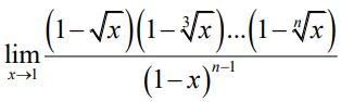
(f) Let D ={(x , y )| x2+y2≤2 } , then =________.
(g) The derivative of function f ( x,y) at the point (1,1) in the direction toward (2,1) is 3 and in the direction toward (0,0) is , then the derivative of f at (1,1) in the direction toward the point (4,5) is ________.
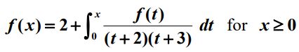
2. Suppose that f is a continuous function satisfying Find f (3). (15 分)
(1)
(2) ,where [] means the Gaussian function.
(3)
(a)Evaluate
(b)Prove that
5. Prove that by Mean.Value.Theorem(10 分)
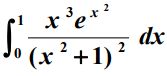
6. Find dx(10 分)