所屬科目:研究所、轉學考(插大)-微積分
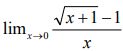
1. Find the limit .
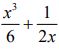
2. Find the extrema of f(x) = on the interval [-1,3].
3. Find the area of the region bounded by the graphs of f(x) = 2-x² and g(x) = x .
4. Find the arc length of the graph of y =.
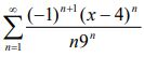
5. Find the interval of convergence of
6.Find the extrema of f(x) = on the interval [-1, 1].
7.Find an equation of the tangent line to the graph y²(x² + y²) = 2x² at point (1, 1).
8. Evaluate
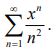
9.Find the interval of convergence of ∫f(x)dx, where f(x) =.
10.Find the directional derivative of the function f(x, y, z) = y² + xz at point P(1, 2, 2) in the direction of Q(3, 1, 4).