阿摩線上測驗
登入
首頁
>
地球物理數學
> 99年 - 99 普通考試_地震測報:地球物理數學概要#46780
99年 - 99 普通考試_地震測報:地球物理數學概要#46780
科目:
地球物理數學 |
年份:
99年 |
選擇題數:
0 |
申論題數:
9
試卷資訊
所屬科目:
地球物理數學
選擇題 (0)
申論題 (9)
一、有一半徑為 6 公尺的金屬球體,遇熱膨脹後的體積為原來體積的 1.01 倍,請問膨脹 後的半徑為多少公尺?(小數點取 2 位,第 3 位四捨五入)(10 分)
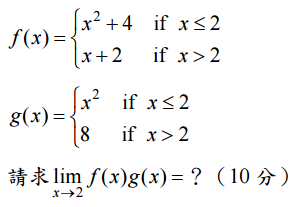
二、
三、假設要製作一個底面半徑為 R,高度為 H 的金屬罐,若體積一定時,請問當 H 與 R 的比例為何,所使用的金屬材料最少?(10 分)
四、求 y"-4y'+4y = 0 的解,且滿足 x=0 時,y=3 及 y'=4。(10 分)
⑴證明▽×(▽Φ)=0。(10 分)
⑵說明▽×(▽Φ)=0 在研究地球重力學的含義。(10 分)
六、若矩陣(matrix)
,試求A
-1
(inverse matrix)=?(20 分)
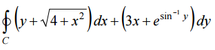
七、曲線C:x
2
+y
2
=9,圓心為(0,0),試求
。(10 分)
八、求 sin
4
xdx = ?(10 分)