阿摩線上測驗
登入
首頁
>
研究所、轉學考(插大)-微積分
> 99年 - 99 東吳大學轉學生(含進修學士班)招生考試試題_數學系二年級:微積分#116657
99年 - 99 東吳大學轉學生(含進修學士班)招生考試試題_數學系二年級:微積分#116657
科目:
研究所、轉學考(插大)-微積分 |
年份:
99年 |
選擇題數:
0 |
申論題數:
9
試卷資訊
所屬科目:
研究所、轉學考(插大)-微積分
選擇題 (0)
申論題 (9)
1.令
証明f在0連續。 (10)
2,証明|sinb-sina| ≤|b-a|(10)
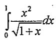
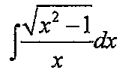
(1)
(2)
(3)
(1)求f
x
(x,y)。
(2)求f圖上點(0,1,1)之切平面方程式。
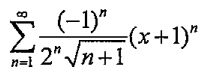
5.求級數
之收斂區間。 (15)
6. 証明若z=f(x,y)在點(x
0
,y
0
。)可微,則z=f(x,y)在點(x
0
,y
0
)連續。(10)
相關試卷
114年 - 114 臺灣綜合大學系統_學士班轉學生考試試題:微積分A#137897
114年 · #137897
114年 - 114 臺灣綜合大學系統_學士班轉學生考試試題:微積分B#137819
114年 · #137819
114年 - 114 台灣聯合大學系統_學士班轉學生考試試題:微積分#137762
114年 · #137762
114年 - 114 台灣聯合大學系統_學士班轉學生考試試題:微積分#137761
114年 · #137761
114年 - 114 國立臺灣大學_轉學生招生考試_物理學系/土木工程學系/生物環境系統工程學系/生物機電工程學系:微積分(B)#137745
114年 · #137745
114年 - 114 國立臺灣大學_轉學生招生考試_數學系:微積分(A)#137744
114年 · #137744
113年 - 113 國立嘉義大學_轉學生招生考試試題_(全校):微積分#122986
113年 · #122986
112年 - 112 國立臺灣大學_碩士班招生考試題:微積分(D)#130254
112年 · #130254
112年 - 112 國立陽明交通大學_碩士班入學招生試題_統計學研究所﹕微積分與線性代數#130252
112年 · #130252
112年 - 112 國立嘉義大學_轉學生招生考試試題:微積分#123297
112年 · #123297