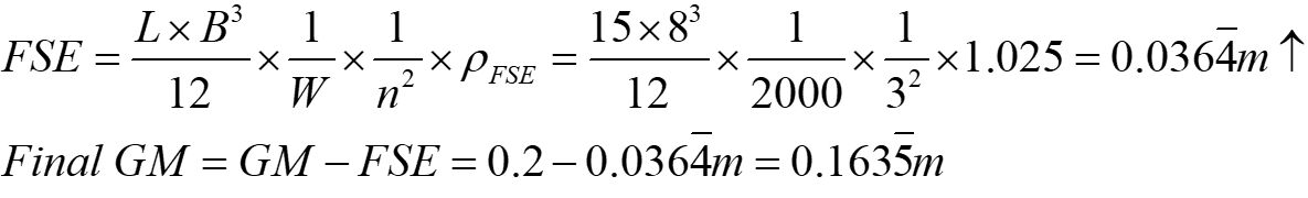
3. 某船排水量2000噸,其矩形二重底艙15公尺長,8公尺寬,其內部分裝載海水(密度 =1.025t/ m3),未產生自由液面效應前的GM為0.20公尺,試求若二重底艙,以平均橫距,設置兩 縱向艙壁,因而將二重底艙分隔成三個艙間,求其新GM值。
(A) 0.04 m
(B) 0.08 m
(C) 0.12 m
(D) 0.16 m
答案:登入後查看
統計: A(29), B(103), C(145), D(195), E(0) #1777074
統計: A(29), B(103), C(145), D(195), E(0) #1777074
詳解 (共 3 筆)
#7302748

1
0