阿摩線上測驗
登入
首頁
>
專技◆航海◆貨物作業(概要)
>
104年 - 104-4 交通部航海人員測驗_一等船副:貨物作業#52721
> 試題詳解
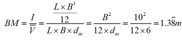
2. 某箱型船之船長為 80 公尺,船寬 10 公尺,吃水 6 公尺,求穩定中心半徑 BM 為幾公尺?
(A) 1.16
(B)1.39
(C) 1.66
(D) 1.96
答案:
登入後查看
統計:
A(12), B(231), C(51), D(17), E(0) #1332693
詳解 (共 2 筆)
abow
B2 · 2018/05/24
#2810793
10 2 / 12* 6 = ...
(共 26 字,隱藏中)
前往觀看
11
0
馬英精
B3 · 2026/02/18
#7301002
0
0
私人筆記 (共 1 筆)
buttfucker3000
2024/01/10
私人筆記#5699618
未解鎖
(共 0 字,隱藏中)
前往觀看
3
0
相關試題
1. 一般油輪實際裝油,必須至少預留多少容積,作為貨油熱脹冷縮之空間? (A) 1% (B)2% (C) 5% (D) 8%
#1332692
3. 以玻璃忌濕之性質,可以和下列何種貨物裝在同一室? (A) 木材 (B) 穀物 (C) 瓷器 (D) 果菜
#1332694
4. 袋裝貨物的垂直堆疊(如圖),下列何者不是其特點? (A) 節省艙容積 (B) 操作便利 (C) 便利通風 (D) 適合長途運輸
#1332695
5. 袋裝貨物的縱橫壓縫堆疊(如圖),下列何者是其特點? (A) 操作便利 (B) 堆疊最為穩固 (C) 便利通風 (D) 用於堆疊底部
#1332696
6. 某船船中吃水 10.24m,船尾平均吃水 10.88m,請問船舶在艉重且無傾側及 變形情況化船艏吃水多少? (A) 9.8m (B) 9.6m (C) 10.88m (D) 10.24m
#1332697
7. 穀物裝載過程中,壓艙水處理要領何者有誤? (A) 壓載水要依計劃全數排放 (B) 底艙的壓載空間不會影響載貨空間量 (C) 壓水艙底殘餘現象不會影響艙間可裝貨量 (D) 船舶可攜總量受水尺限制不能逾越
#1332698
8. 下列那一項並非為貨櫃海運公司法搬運貨櫃之優點? (A) 不需廣大之貨櫃場 (B) 不需配備操作運轉呆笨之跨載機 (C) 貨櫃場貨櫃堆機以大型高架跨載起重機操作 (D) 貨櫃調度及碼頭作業以堆高機取代跨載機操作
#1332699
9. 穩定中心高度之公式:GM=KB+BM-KG,其中 KB 為下列何者? (A) 船舶重心與龍骨之距離 (B) 船舶浮心與龍骨之距離 (C) 船舶穩心與龍骨之距離 (D) 船舶視重心與龍骨之距離
#1332700
10. 穩定中心高度之公式:GM=KB+BM-KG,其中 BM 為下列何者? (A) 穩定中心高度 (B) 穩定中心半徑 (C) 浮心力距 (D) 慣性力距
#1332701
11. 貨物積載及繫固安全實務章程中規定運送氣體可移動液槽(Portable Tank) 容量須大於多少公升? (A) 800 (B) 1000 (C)1200 (D) 1400
#1332702
相關試卷
114年 - 114-4 航海人員測驗_一等船副:貨物作業#135812
2025 年 · #135812
114年 - 114-3 航海人員測驗_一等船副:貨物作業#130652
2025 年 · #130652
114年 - 114-2 航海人員測驗_一等船副:貨物作業#127557
2025 年 · #127557
114年 - 114-1 航海人員測驗_一等船副:貨物作業#125834
2025 年 · #125834
113年 - 113-1 航海人員測驗_二等船副:貨物作業概要#126051
2024 年 · #126051
113年 - 113-4 航海人員測驗_一等船副:貨物作業#124032
2024 年 · #124032
113年 - 113-3 航海人員測驗_一等船副:貨物作業#122453
2024 年 · #122453
113年 - 113-2 航海人員測驗_一等船副:貨物作業#120145
2024 年 · #120145
113年 - 113-1 航海人員測驗_一等船副:貨物作業#118955
2024 年 · #118955
112年 - 112-1 航海人員測驗_二等船副:貨物作業概要#123315
2023 年 · #123315