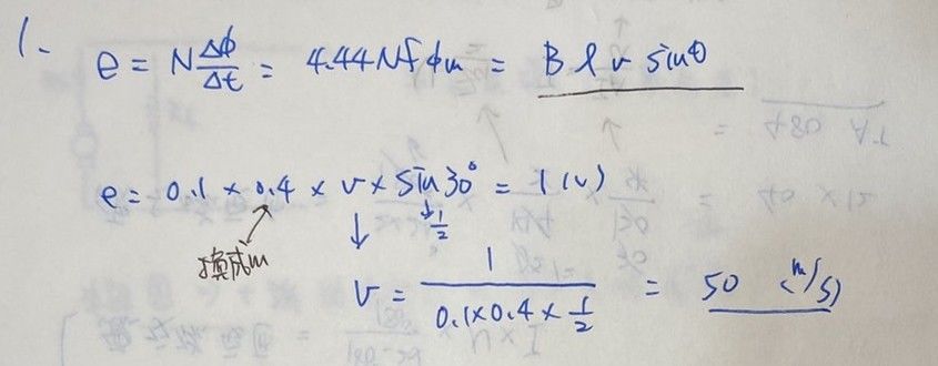
1. 某運動中之導體長 40 公分,置於磁通密度為 0.1 Wb/m2 之均勻磁場中,若導體之運動方向與 磁場成 30 度,感應電勢為 1 V,則此導體移動速率為多少?
(A) 1 m/s
(B) 10 m/s
(C) 50 m/s
(D) 100 m/s
答案:登入後查看
統計: A(8), B(42), C(412), D(10), E(0) #2057403
統計: A(8), B(42), C(412), D(10), E(0) #2057403
詳解 (共 3 筆)
#5195500

0
0